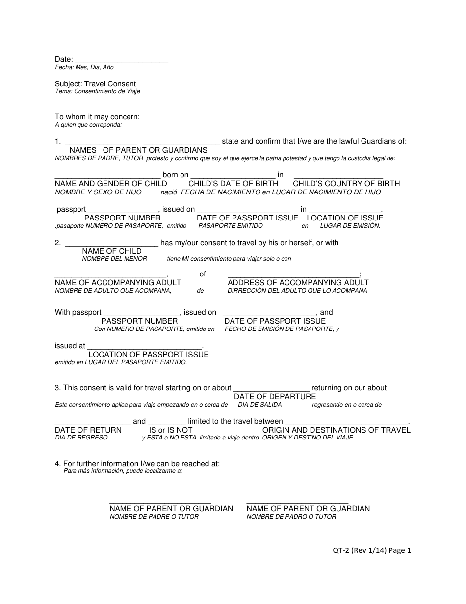
When it comes to traveling with minors, it is important to have a travel consent form in place to ensure that the child has permission to travel with a designated guardian. This form is essential for situations where the child is traveling without both parents or legal guardians. It helps prevent any potential issues or delays at border crossings or during travel.
Having a travel consent template ready to go can make the process much smoother and ensure that all necessary information is included. It is a simple document that outlines the details of the trip, the child’s information, the guardian’s information, and any other relevant details.
Here is a sample travel consent template that can be customized to fit your specific needs:
Travel Consent Template
I, [Guardian’s Name], give permission for my child, [Child’s Name], to travel with [Accompanying Adult’s Name] to [Destination] from [Departure Date] to [Return Date].
During this trip, [Accompanying Adult’s Name] will be responsible for the care and well-being of my child. I authorize [Accompanying Adult’s Name] to make any necessary decisions on behalf of my child during the trip, including any medical treatments that may be required.
I have attached a copy of my identification, as well as contact information where I can be reached in case of an emergency. Please do not hesitate to contact me if needed.
Signature: [Guardian’s Signature] Date: [Date]
Having a travel consent form signed and ready to go can provide peace of mind for both the guardian and the accompanying adult. It ensures that everyone is on the same page and that the child’s safety and well-being are the top priority.
Remember to keep a copy of the travel consent form with you during the trip and provide a copy to the accompanying adult as well. This way, you can easily present the form if needed and ensure that all parties are aware of the arrangements.
In conclusion, a travel consent template is a valuable tool for ensuring smooth travels with minors. By having a form in place, you can avoid any potential issues and ensure that everyone involved is clear on the arrangements. It is a simple step that can make a big difference in the overall travel experience.
